中华人民共和国科学技术部
· 河南省科学技术厅
· 郑州市人民政府
· 郑州政务服务网
繁體
登录
首页
政务公开
政务服务
党务公开
重点工作
科技计划
技术转移
科技园区
科技合作
民生科技
政策法规
软科学研究
高新技术企业培育
科技型企业培育
互动交流
领导信箱
信件受理统计
调查征集
科技热线
查询间隔10秒
首页
重点工作
政策法规
正文
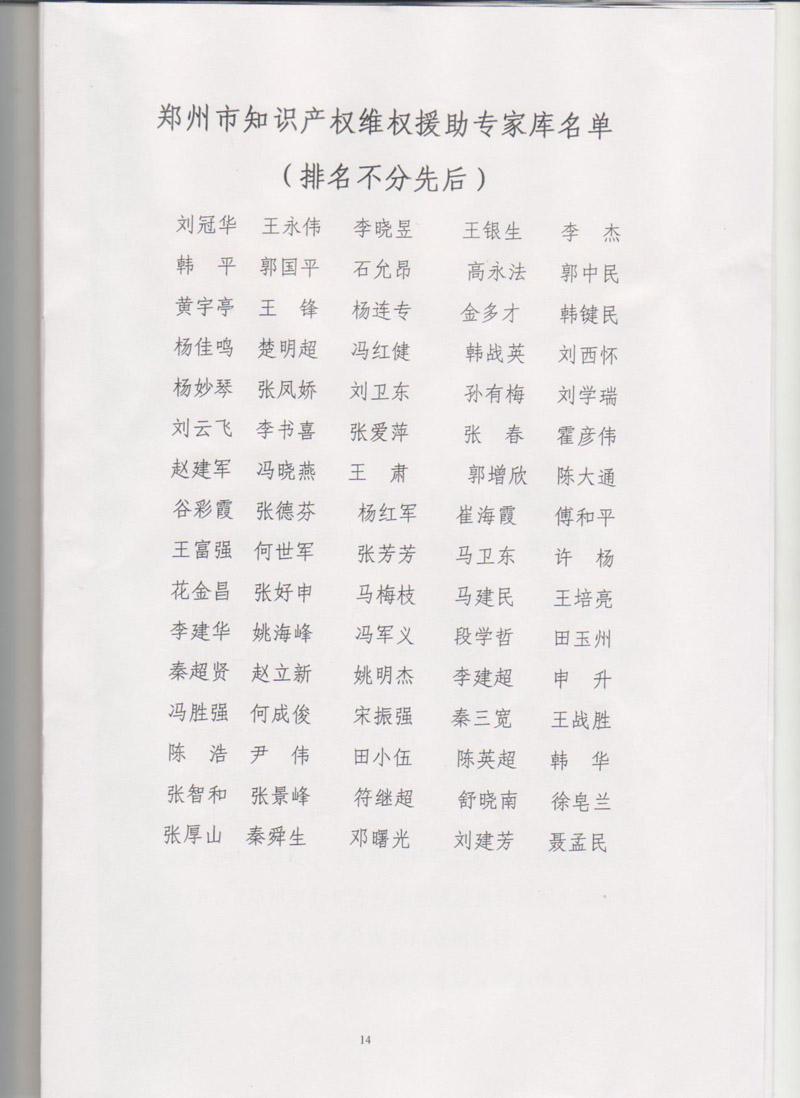
关于印发《郑州市知识产权维权援助管理办法(试行)》的通知
来源:办公室(郑州市国防动员委员会科技动员办公室) 时间:2011-09-27 10:10:08
打印此文
关闭窗口
网站地图
主办单位:郑州市科学技术局
地址:郑州市工人路13号
科技热线
网站标识码:4101000036
豫ICP备2023040260号-1
豫公网安备 41010202002739号